真空化學氣相沉積工藝(Chemical Vapor Deposition,英文簡稱CVD), 俗稱:真空氣相鍍膜,納米鍍膜或派瑞林鍍膜。是一種把含有構成薄膜元素的長鏈性高分子材料(派瑞林Parylene等)、單質氣體經過昇華、熱解後進入放置產品的真空反應室,借助空間氣相化學反應並在產品表面上沉積生成的0.1-100um薄膜塗層的工藝技術。薄膜塗層厚度均勻,緻密無針孔、透明無應力、不含助劑、不損傷產品、有優異的電絕緣性和防護性,是當代最有效的防潮、防黴、防腐、防鹽霧塗層材料。

CVD派瑞林真空氣相鍍膜流程
隨著時代的發展,電子產品技術的不斷革新。高新技術與智能化的發展,精密的電子設備元件需要適應各種惡劣的工作環境,達到工業對其更高的要求:高可靠,小型化,抗干擾等等。因此,電子零部件的環境適應性和防護力就成了重中之重。
LPMS為適應現有市場需求, 通過開發創新,成功的將派瑞林鍍膜技術運用到電子產品行業。我們在材料、工藝和設備方面的專有技術使我們能夠為客戶帶來高質量的超薄與納米級保形塗層,其成就在行業得到認可。
|
|

CVD(派瑞林 paerylene真空鍍膜)真空氣相沉積工藝鍍膜後產品表面化學純度高,鍍膜均勻,無小孔,無氣泡,不會脫落,無熱應力。

我們能為您做什麼?
針對客戶具體專案,進行專案評估、提供專業可行的CVD(派瑞林 paerylene真空鍍膜 )真空氣相沉積工藝解決方案,以及納米塗層加工服務(打樣測試或大批量加工生產)。
根據客戶技術要求提供CVD(派瑞林 paerylene真空鍍膜 )真空氣相沉積工藝所需的派瑞林粉體,並給於專業的技術指導;
為有需要的客戶提供有針對性設計的CVD(派瑞林 paerylene真空鍍膜 )真空氣相沉積工藝設備(真空氣相沉積鍍膜機、真空脫氣爐等相關設備)。
CVD(派瑞林Parylene真空鍍膜)廣泛用於航空航天、電路板、LED 、磁性材料、感測器、矽橡膠、密封件、醫療器械、珍貴文物等領域。派瑞林真空鍍膜後的電子產品具有極高的絕緣強度和耐高低溫(-60至200度)、抗腐蝕、耐酸堿、潤滑、防塵、防潮、防銹、透明、防水(最高可達IP68)、抗老化、生物相容性等作用。

LPMS擁用標準的真空氣相鍍膜車間和10多臺CVD真空氣相鍍膜設備,可為客戶提供CVD真空氣相沉積納米級塗層的打樣測試或大批量生產代加工服務。同時也可提供包括產品的從SMT表面黏著、DIP插件、無鉛制程、焊接加工、低壓注塑/點膠、真空氣相鍍膜、產品測試、成品包裝的全程代工代料服務,亦也可為客戶提供新產品開發服務。
CVD真空氣相沉積工藝所使用的是一種保護性長鏈性高分子材料(中文名:派瑞林、聚對二甲苯、英文名:Parylene),它可在真空下氣相沉積,活性分子的良好穿透力能在元件內部、底部,周圍形成無針孔,並厚度均勻的透明絕緣塗層,給元件提供了一個完整的優質防護塗層,抵禦酸堿、鹽霧、黴菌及各種腐蝕性氣件的侵害,因為所使用的不是液體,所以塗敷過程中不會聚集,橋接式形成彎月面。
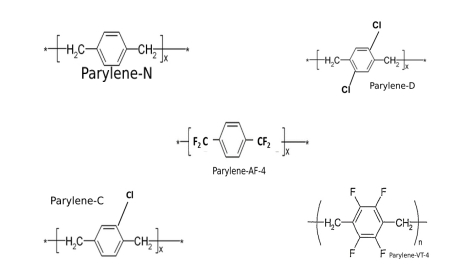
Parylene派瑞林高分子材料根據分子結構可分為: N、C、 D、F、HT等多種 類型。我們可根據客戶技術要求與產品提供CVD真空氣相沉積工藝所需的派瑞林粉體與原料,並給於專業的技術指導。

派瑞林牌號 成膜特性 | CAT N粉 | CAT C粉 | CAT D粉 | CAT F(VT4)粉 | CAT AF4(HT)粉 |
密度(gm/cc) | 1.1 | 1.3 | 1.41 | 1.55 | 1.5 |
介電常數(1Mhz) | 2.6 | 2.9 | 2.8 | 2.3 | 2.2 |
介電強度(V/Mil) | 7000 | 5600 | 5500 | 5000 | 7000 |
最低持續工作溫度(空氣中) | -60°C | -60°C | -60°C | -60°C | -60°C |
最高持續工作溫度(空氣中) | 60°C | 80°C | 110°C | 200°C | 300°C |
摩擦係數-動態 | 0.25 | 0.29 | 0.38 | 0.39 | 0.16 |
線性膨脹係數(ppm at 25°C) | 69 | 35 | 38 | 45 | 34 |
吸水性(24H後) | <% 0.1 | <% 0.1 | <% 0.1 | <% 0.1 | <% 0.1 |
水蒸氣透過率(gm.mm)/m2.day) | 0.6 | 0.08-0.1 | 0.1 | 0.25-0.32 | 0.2 |
氧氣穿透率(cc.mm)/(m2.day.atm) | 16 | 3 | 12.0-13.5 | 16.8 | 25.3 |
Copyright ? 2015-2018 東莞市天賽塑料機械有限公司 All Rights Reserved.